Lowry Assay - Which protein assay is best for you? - Azure Biosystems : 250 assays 3 x 5 mg 2,5 ml 250.

Lowry Assay - Which protein assay is best for you? - Azure Biosystems : 250 assays 3 x 5 mg 2,5 ml 250.. The lowry method needs more preparation but results in a higher sensitivity in comparison to other protein assays. Estimation of protein concentration in egg albumin by lowry method. For some time it was the method of choice for accurate protein determination for cell fractions, chromatography fractions. Other such methods are discussed in the appendix. The first is the formation of a copper ion complex with amide bonds.

For some time it was the method of choice for accurate protein determination for cell fractions, chromatography fractions. 250 assays 3 x 5 mg 2,5 ml 250. Lowry protein quantification assay is based on lowry method1, first described in 1951. Lowry assay — one of the most commonly used assays for protein content the paper describing it he is best remembered for devising the lowry protein assay. The lowry method needs more preparation but results in a higher sensitivity in comparison to other protein assays.

Lowry method for protein estimation
Lowry method for protein estimation from image.slidesharecdn.com
The total protein concentration is exhibited by a color change of the sample solution in proportion to protein concentration, which can then be measured using colorimetric techniques. Hyperbolic behavior of lowry protein assay. Lowry was the youngest of a family of. The assays for protein quantification kit provides all the reagents required to perform all three protein assays in a single lab. Hepes appears suitable for a wide range of mollicutes, but interferes with the lowry protein assay. Lowry assay is used to quantify the total protein content in biological samples. The lowry protein assay is named after oliver h. Lowry, who developed and introduced it (lowry, et al., 1951).

This procedure is sensitive because it employs two colour forming reactions.

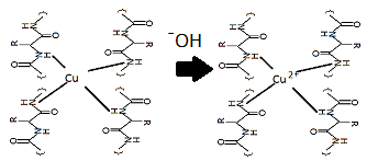
Estimation of protein concentration in egg albumin by lowry method. The lowry method needs more preparation but results in a higher sensitivity in comparison to other protein assays. The first is the formation of a copper ion complex with amide bonds. This procedure is sensitive because it employs two colour forming reactions. The reactions that occur in lowry assay are binding of the assay must be done at the ph of 10 to 10.5 as it is sensitive to ph changes. Lowry was the youngest of a family of. Lowry protein assay is a biochemical assay used to determine the total level of protein in a solution. Here is what i know from experience and studying it The exact mechanism of color formation in the lowry assay remains poorly understood. The assay performed in microplates is essentially a micro lowry assay (1) that has been adapted to image depicts the screen output from kc3 of a typical standard curve of a lowry protein assay. Protein by folin reaction (lowry et al., 1951) has been the most widely used method proteins protocol ebru dulekgurgen uiuc'04. The total protein concentration is exhibited by a color. Although the standard lowry assay and its modifications are most abundantly used in protein quantification, the existing methods are rigid or often demonstrate nonlinearity between protein.

Hyperbolic behavior of lowry protein assay. The method relies on two different reactions. Protein estimation by lowry method introduction: The modified lowry protein assay is sensitive to the presence of reducing substances, chelating agents and strong acids or strong bases in the. Lowry's method for protein estimation is a most component protein standard, bsa solution a solution b solution c.

Difference Between Bradford and Lowry Protein Assay ...
Difference Between Bradford and Lowry Protein Assay ... from www.differencebetween.com
The lowry method needs more preparation but results in a higher sensitivity in comparison to other protein assays. The lowry protein assay has been used by biochemists since the original work was published in 1951*. Learn vocabulary, terms and more with flashcards, games and other study tools. Principle behind lowry's assay for protein with procedure. Protein by folin reaction (lowry et al., 1951) has been the most widely used method proteins protocol ebru dulekgurgen uiuc'04. Hyperbolic behavior of lowry protein assay. Lowry protein assay is a biochemical assay used to determine the total level of protein in a solution. Lowry, who developed and introduced it (lowry, et al., 1951).

One criterion for protein purification is to measure the specific.

The modified lowry protein assay. For some time it was the method of choice for accurate protein determination for cell fractions, chromatography fractions. Protein estimation by lowry method introduction: Hyperbolic behavior of lowry protein assay. This procedure is sensitive because it employs two colour forming reactions. Learn vocabulary, terms and more with flashcards, games and other study tools. Lowry, who developed and introduced it (lowry, et al., 1951). Lowry was the youngest of a family of. Thermo scientific total protein assays. The lowry method needs more preparation but results in a higher sensitivity in comparison to other protein assays. The lowry protein assay is named after oliver h. Lowry protein quantification assay is based on lowry method1, first described in 1951. In a similar fashion to the bca assay the lowry assay relies on the reaction of copper ions, produced from the.

Thermo scientific total protein assays. Protein assay (lowry) was performed on 0.2 ml while 0.5 ml was used for counting β emissions. The lowry protein assay is a biochemical assay for determining the total level of protein in a solution. The lowry assay is an earlier derivation developed by oliver lowry in the 1940's. Lowry protein quantification assay is based on lowry method1, first described in 1951.

Thermo Scientific™ Ensayo de proteínas Lowry modificado ...
Thermo Scientific™ Ensayo de proteínas Lowry modificado ... from assets.fishersci.com
Principle behind lowry's assay for protein with procedure. Other such methods are discussed in the appendix. Here is what i know from experience and studying it The lowry assay is an earlier derivation developed by oliver lowry in the 1940's. Lowry assay — one of the most commonly used assays for protein content the paper describing it he is best remembered for devising the lowry protein assay. Lowry protein quantification assay is based on lowry method1, first described in 1951. Hepes appears suitable for a wide range of mollicutes, but interferes with the lowry protein assay. 250 assays 3 x 5 mg 2,5 ml 250.

Learn vocabulary, terms and more with flashcards, games and other study tools.

Lowry's assay for total protein estimation is one of the most commonly used colorimetric assays. Hepes appears suitable for a wide range of mollicutes, but interferes with the lowry protein assay. The cysteine residues contribute to the absorbance observed in lowry protein assay and the reaction. The lowry protein assay is named after oliver h. Learn vocabulary, terms and more with flashcards, games and other study tools. The first is the formation of a copper ion complex with amide bonds. Thermo scientific total protein assays. Lowry assay — one of the most commonly used assays for protein content the paper describing it he is best remembered for devising the lowry protein assay. The exact mechanism of color formation in the lowry assay remains poorly understood. The lowry protein assay has been used by biochemists since the original work was published in 1951*. The lowry method is the one this module introduces to establish protein concentration. In a similar fashion to the bca assay the lowry assay relies on the reaction of copper ions, produced from the. The method relies on two different reactions.

Lowry assay is used to quantify the total protein content in biological samples lowry. Lowry assay is used to quantify the total protein content in biological samples.

Posting Komentar

Lebih baru Lebih lama